Le vibrazioni legate al funzionamento rappresentano uno dei fenomeni dinamici più diffusi e, al tempo stesso, più critici nel funzionamento delle macchine industriali. Sebbene una certa entità di vibrazione sia inevitabile, il controllo di questo fenomeno costituisce un aspetto fondamentale della progettazione industriale.
Principi dinamici dell’isolamento vibrazionale
La progettazione delle basi antivibranti si fonda su alcuni principi fondamentali della dinamica delle strutture. Un sistema meccanico soggetto a vibrazioni può essere descritto, in prima approssimazione, mediante modelli dinamici semplificati che rappresentano il comportamento oscillatorio della macchina e del suo sistema di supporto. Tra questi, il modello più utilizzato è quello a singolo grado di libertà, costituito da una massa collegata a un elemento elastico e, in molti casi, a un dispositivo di smorzamento. Questo schema rappresenta una buona approssimazione del comportamento dinamico di molte macchine montate su supporti antivibranti.
In tale modello, la massa rappresenta la macchina o il sottosistema considerato, mentre la molla simula la rigidezza equivalente dei supporti elastici. Lo smorzatore, quando presente, rappresenta i meccanismi dissipativi interni al materiale o introdotti artificialmente tramite elementi viscoelastici. L’interazione tra massa, rigidezza e smorzamento determina la risposta dinamica del sistema alle eccitazioni esterne e definisce la sua capacità di isolare le vibrazioni.
Il comportamento dinamico di un sistema massa–molla–smorzatore può essere descritto dall’equazione differenziale del moto:

dove m rappresenta la massa del sistema, c il coefficiente di smorzamento, k la rigidezza elastica del supporto, x lo spostamento nel tempo e F(t) la forzante esterna applicata.
Frequenza naturale del sistema
Uno dei parametri più importanti nella progettazione di basi antivibranti è la frequenza naturale del sistema. Essa rappresenta la frequenza alla quale il sistema oscillerebbe liberamente in assenza di smorzamento e forze esterne, ed è determinata dal rapporto tra la rigidezza dei supporti e la massa della macchina. Per un sistema semplificato privo di smorzamento, la frequenza naturale angolare è espressa dalla relazione

in cui si vede immediatamente che la frequenza naturale diminuisce all’aumentare della massa o alla riduzione della rigidezza del supporto. Dal punto di vista progettuale, questo aspetto è cruciale: basi antivibranti più morbide (cioè con rigidezza inferiore) riducono la frequenza naturale del sistema, migliorando la capacità di isolamento alle vibrazioni ad alta frequenza. Tuttavia, una rigidezza troppo bassa può comportare spostamenti statici eccessivi o instabilità della macchina, rendendo necessario un compromesso tra isolamento dinamico e stabilità strutturale.
Trasmissibilità delle vibrazioni
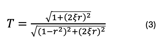
Per valutare l’efficacia di un sistema antivibrante si utilizza il concetto di trasmissibilità, cioè il rapporto tra l’ampiezza della vibrazione trasmessa alla struttura di supporto e quella della vibrazione generata dalla sorgente.
Nel caso di eccitazione armonica, la trasmissibilità T dipende dal rapporto tra la frequenza di eccitazione w e la frequenza naturale del sistema wn, oltre che dal coefficiente di smorzamento. In forma semplificata, essa può essere espressa come

dove

rappresenta il rapporto tra frequenza di eccitazione e frequenza naturale, mentre x è il fattore di smorzamento relativo.
Questa relazione evidenzia un comportamento caratteristico dei sistemi antivibranti: quando la frequenza di eccitazione è prossima alla frequenza naturale, il sistema entra in risonanza e l’ampiezza delle vibrazioni aumenta significativamente. Al contrario, quando la frequenza di eccitazione supera di almeno due o tre volte la frequenza naturale, il sistema inizia a comportarsi come un efficace filtro dinamico, riducendo progressivamente la vibrazione trasmessa.
Condizioni per un isolamento efficace
Affinché un sistema antivibrante funzioni correttamente, è quindi necessario che la frequenza naturale del sistema sia significativamente inferiore rispetto alla frequenza delle vibrazioni generate dalla macchina o provenienti dall’ambiente. In termini pratici, una regola progettuale comunemente adottata consiste nel mantenere la frequenza naturale del sistema inferiore a circa un terzo della frequenza di eccitazione principale.
Questa condizione garantisce che il rapporto tra le frequenze sia sufficientemente elevato da collocare il sistema nella zona di isolamento dinamico, dove la trasmissibilità delle vibrazioni risulta inferiore all’unità e quindi le oscillazioni vengono attenuate.
Tipologie di supporti antivibranti e materiali utilizzati
La scelta dei supporti antivibranti rappresenta uno degli aspetti più rilevanti nella progettazione dei sistemi di isolamento dinamico per macchine industriali. La funzione di questi dispositivi è quella di introdurre un elemento elastico e dissipativo tra la macchina e la struttura di supporto, in modo da ridurre la trasmissione delle vibrazioni generate dal sistema o provenienti dall’ambiente circostante. La progettazione non si limita alla sola determinazione della rigidezza richiesta, ma necessita anche di una valutazione attenta dei materiali, delle condizioni operative e delle caratteristiche dinamiche del sistema.
Nel contesto industriale esistono diverse tipologie di supporti antivibranti, ciascuna caratterizzata da specifiche proprietà meccaniche e da ambiti applicativi distinti. Le soluzioni più diffuse possono essere ricondotte a quattro grandi categorie: supporti elastomerici, supporti a molle metalliche, supporti pneumatici e sistemi ibridi che combinano differenti meccanismi di isolamento.
Supporti elastomerici
I supporti elastomerici (Fig. 1a) rappresentano una delle soluzioni più comuni per l’isolamento delle vibrazioni nelle macchine industriali di piccola e media dimensione. Essi sono generalmente realizzati con materiali polimerici ad elevata elasticità, come gomma naturale, neoprene, poliuretano o elastomeri sintetici ad alte prestazioni. Questi materiali presentano una combinazione favorevole di rigidezza elastica e capacità di dissipazione energetica, caratteristiche che li rendono particolarmente efficaci nel ridurre l’ampiezza delle vibrazioni.
Dal punto di vista meccanico, un supporto elastomerico si comporta come una molla dotata di smorzamento interno. La deformazione del materiale avviene per compressione, taglio o una loro combinazione, a seconda della geometria del supporto e delle modalità di carico. La presenza di smorzamento viscoelastico consente di ridurre i picchi di vibrazione in prossimità della risonanza, migliorando la stabilità dinamica del sistema.
Tuttavia, gli elastomeri sono sensibili a fattori ambientali quali temperatura, invecchiamento e presenza di agenti chimici. Nel tempo, tali condizioni possono modificare le proprietà meccaniche del materiale, alterando la rigidezza e la capacità di smorzamento. Per questo motivo, nella progettazione industriale è necessario considerare attentamente l’ambiente operativo e prevedere eventuali margini di sicurezza nella scelta dei supporti.
Supporti a molle metalliche
Per applicazioni che richiedono una maggiore capacità di isolamento, soprattutto a basse frequenze, si utilizzano frequentemente supporti basati su molle metalliche (Fig. 1b). Questi dispositivi sfruttano la deformazione elastica di molle elicoidali in acciaio per ottenere una rigidezza relativamente bassa e quindi una frequenza naturale del sistema inferiore rispetto a quella ottenibile con supporti elastomerici. Le molle metalliche presentano alcuni vantaggi importanti dal punto di vista progettuale. Innanzitutto, le loro proprietà elastiche sono relativamente stabili nel tempo e poco sensibili alle variazioni di temperatura o agli agenti chimici. Inoltre, consentono di realizzare sistemi di isolamento efficaci anche per macchine di grande massa, come compressori industriali, generatori o macchine utensili di grandi dimensioni.
Lo svantaggio principale di questa soluzione è rappresentato dal ridotto smorzamento intrinseco del sistema. Le molle metalliche dissipano infatti una quantità limitata di energia, rendendo talvolta necessario l’inserimento di elementi dissipativi aggiuntivi, come tamponi elastomerici o smorzatori viscosi. Questi componenti consentono di controllare l’ampiezza delle oscillazioni nelle fasi transitorie e di evitare amplificazioni eccessive in prossimità della risonanza.
Supporti pneumatici
Nei sistemi ad alta precisione o nelle applicazioni in cui è richiesto un isolamento estremamente efficace, si ricorre spesso a supporti pneumatici (Fig. 1c). Questi dispositivi utilizzano camere d’aria o membrane pressurizzate per sostenere la massa della macchina e garantire una rigidezza molto ridotta rispetto alle soluzioni tradizionali.
Il principio di funzionamento si basa sulla compressibilità del fluido contenuto all’interno del supporto. Variando la pressione dell’aria è possibile regolare la rigidezza del sistema e adattarla alle condizioni operative della macchina. Questo tipo di soluzione è particolarmente diffuso nei banchi di misura, nelle apparecchiature di metrologia di precisione e nei sistemi di produzione micro-meccanica, dove anche vibrazioni di piccola entità possono compromettere la qualità del processo. Un ulteriore vantaggio dei supporti pneumatici è la possibilità di integrare sistemi di controllo attivo che regolano automaticamente la pressione interna per mantenere costante l’altezza o la rigidità del supporto. Tuttavia, tali soluzioni richiedono sistemi ausiliari di alimentazione e controllo, aumentando la complessità e il costo dell’impianto.
Sistemi antivibranti combinati
In molte applicazioni industriali si adottano soluzioni ibride che combinano differenti principi di isolamento. Ad esempio, un supporto può integrare una molla metallica per sostenere il carico statico e un elemento elastomerico per fornire smorzamento (Fig. 1d). Questa configurazione consente di ottenere una buona capacità di isolamento dinamico mantenendo al contempo un comportamento stabile del sistema.
L’integrazione di diversi materiali e meccanismi di dissipazione permette di ottimizzare le prestazioni del sistema antivibrante in funzione delle caratteristiche della macchina e dello spettro di frequenze da attenuare. Nei sistemi più complessi, tali soluzioni vengono progettate mediante simulazioni dinamiche che consentono di prevedere il comportamento dell’intero sistema macchina-supporto.
Tabella 1. Confronto tra le principali tipologie di supporti antivibranti utilizzati in ambito industriale


Criteri di dimensionamento delle basi antivibranti
Il dimensionamento delle basi antivibranti rappresenta la fase progettuale in cui i principi dinamici dell’isolamento vengono tradotti in scelte tecniche concrete. L’obiettivo è individuare un sistema di supporti in grado di garantire contemporaneamente stabilità statica, corretta distribuzione dei carichi e adeguata attenuazione delle vibrazioni. Questo processo richiede un approccio sistematico che tenga conto delle caratteristiche della macchina, delle condizioni operative e delle frequenze delle eccitazioni dinamiche.
In prima approssimazione, la progettazione può essere condotta modellando la macchina come una massa concentrata sostenuta da un insieme di supporti elastici. Tuttavia, nei sistemi reali la distribuzione delle masse e la posizione dei supporti influenzano in modo significativo il comportamento dinamico globale, rendendo necessario valutare non solo il moto verticale della macchina ma anche eventuali rotazioni attorno al suo baricentro.
Scelta della rigidezza elastica dei supporti
Una volta determinato il carico su ciascun supporto, è necessario selezionare la rigidezza elastica appropriata per ottenere la frequenza naturale desiderata del sistema. Come visto nella sezione precedente, la frequenza naturale dipende dal rapporto tra rigidezza e massa della macchina.
Nel caso di n supporti con rigidezza equivalente totale ktot, la frequenza naturale del sistema è

dove la rigidezza totale è la somma delle rigidezze dei singoli supporti. Per ottenere un isolamento efficace, il progettista deve selezionare supporti tali da garantire una frequenza naturale significativamente inferiore rispetto alle principali frequenze di eccitazione della macchina. Nella pratica industriale si utilizza spesso una regola empirica secondo cui la frequenza naturale del sistema dovrebbe essere inferiore a circa un terzo della frequenza di eccitazione dominante. Questa condizione consente di collocare il sistema nella regione di isolamento dinamico, dove la trasmissione delle vibrazioni risulta ridotta.
Spostamento statico dei supporti
La rigidezza dei supporti influenza direttamente anche lo spostamento statico della macchina sotto l’azione del proprio peso. Per un supporto elastico lineare, la deformazione statica può essere stimata mediante la relazione

dove F è il carico applicato al supporto e k la sua rigidezza. Lo spostamento statico rappresenta un parametro importante nella progettazione, poiché valori eccessivi possono compromettere la stabilità della macchina o interferire con altri componenti dell’impianto. In molti casi il valore di deformazione statica viene utilizzato come parametro di selezione dei supporti antivibranti, poiché esso è direttamente collegato alla frequenza naturale del sistema. Supporti con deformazioni statiche maggiori tendono infatti a generare frequenze naturali più basse e quindi migliori prestazioni di isolamento.
Comportamento in presenza di carichi dinamici
Oltre al peso statico della macchina, i supporti antivibranti devono essere in grado di sopportare anche carichi dinamici variabili nel tempo. Tali carichi possono derivare da accelerazioni delle masse in movimento, urti, variazioni di velocità o processi di lavorazione. Per tenere conto di queste condizioni, nel dimensionamento si introduce generalmente un fattore di sicurezza che consente di considerare possibili variazioni del carico. Inoltre, nei sistemi soggetti a eccitazioni impulsive o a variazioni rapide delle forze, può essere necessario prevedere supporti con caratteristiche di smorzamento adeguate al fine di limitare l’ampiezza delle oscillazioni transitorie.
In tabella 2 si riportano i criteri di selezione preliminare dei supporti antivibranti, utile come riferimento pratico per il progettista nella fase iniziale di dimensionamento. La tabella mette in relazione massa della macchina, frequenza di eccitazione tipica e tipologia di supporto consigliata, fornendo una guida orientativa per la scelta della tecnologia più adatta. La selezione definitiva dei supporti antivibranti richiede comunque una verifica dinamica basata su parametri specifici del sistema, come la distribuzione delle masse, la posizione del baricentro e lo spettro delle vibrazioni generate o trasmesse dalla macchina.
Tabella 2. Selezione preliminare dei supporti antivibranti in funzione delle caratteristiche della macchina

In Fig. 2 si riporta il diagramma della trasmissibilità delle vibrazioni in funzione del rapporto di frequenza

Le regioni principali del grafico sono le seguenti:
1. Regione di amplificazione (r ≈ 1): quando la frequenza di eccitazione è vicina alla frequenza naturale del sistema si verifica la risonanza, con un forte aumento delle vibrazioni trasmesse.
2. Regione di transizione (1 < r < √2): il sistema non amplifica più significativamente le vibrazioni ma non è ancora un buon isolatore.
3. Regione di isolamento (r > √2 ≈ 1.41): la trasmissibilità scende sotto 1 e il sistema riduce le vibrazioni trasmesse alla struttura.
Il grafico mostra inoltre l’effetto dello smorzamento, inversamente proporzionale all’ampiezza del picco di risonanza. Si comprende quindi il motivo per cui il progettista deve bilanciare correttamente smorzamento e isolamento.

In Fig. 3 si riporta il grafico di variazione della frequenza naturale del sistema in funzione della massa della macchina, per cinque valori differenti della rigidezza del supporto antivibrante, utilizzando la relazione dell’Eq. (4). Si osservano due effetti fondamentali: all’aumentare della massa della macchina, la frequenza naturale diminuisce e il sistema tende a diventare più facilmente isolabile; all’aumentare della rigidezza del supporto, la frequenza naturale aumenta e il sistema diventa meno efficace come isolatore vibrazionale. Questo comportamento evidenzia perché, nella progettazione delle basi antivibranti, si cerca spesso di utilizzare supporti relativamente morbidi, compatibilmente con la stabilità della macchina.
Si riporta in Fig. 4 un diagramma di Campbell applicato al problema dell’isolamento delle vibrazioni nelle macchine dotate di componenti rotanti. Sull’asse orizzontale è riportata la velocità di rotazione della macchina, espressa in giri al minuto, mentre sull’asse verticale è rappresentata la frequenza delle vibrazioni, espressa in Hertz. Questo tipo di diagramma è comunemente utilizzato nell’analisi dinamica dei sistemi rotanti per individuare le condizioni in cui le eccitazioni generate dal rotore possono entrare in risonanza con le frequenze naturali della struttura.
Nel grafico sono rappresentate diverse linee di eccitazione rotazionale, corrispondenti alle principali armoniche generate dal moto del rotore. La linea indicata come 1X rappresenta la frequenza di eccitazione fondamentale dovuta allo squilibrio del rotore, che coincide con la velocità di rotazione convertita in Hertz. Le linee 2X e 3X rappresentano invece le armoniche superiori, che possono essere associate a fenomeni come disallineamenti, imperfezioni geometriche o interazioni dinamiche più complesse tra i componenti della macchina. Oltre alle linee di eccitazione sono riportate due linee orizzontali, che rappresentano le frequenze naturali del sistema macchina–supporto. La prima corrisponde a un sistema montato su basi antivibranti relativamente morbide, che introducono una rigidezza ridotta e quindi una frequenza naturale più bassa. La seconda rappresenta invece un sistema piùrigido, nel quale la frequenza naturale è più elevata a causa della maggiore rigidezza del supporto.
Dal punto di vista progettuale, il diagramma evidenzia l’importanza di posizionare la frequenza naturale del sistema macchina–supporto a valori sufficientemente bassi rispetto alle frequenze operative della macchina. L’utilizzo di basi antivibranti con rigidezza ridotta consente infatti di abbassare la frequenza naturale del sistema e di far sì che le eventuali condizioni di risonanza si verifichino a velocità inferiori rispetto a quelle di esercizio. In questo modo la macchina opera nel proprio campo di funzionamento in una regione dinamicamente stabile, dove la trasmissione delle vibrazioni verso la struttura di supporto risulta attenuata.




