I materiali porosi tradizionali, come le schiume metalliche o i sinterizzati di bronzo sferico, sono caratterizzati dalla disposizione e la dimensione dei canali che variano in modo casuale, rendendo impossibile la previsione esatta delle perdite di carico e dell’efficienza di filtrazione senza test empirici. Inoltre, le schiume metalliche presentano tipicamente un comportamento meccanico dominato dalla flessione delle pareti cellulari, che comporta una rigidezza specifica inferiore.
L’additive manufacturing (AM) consente di realizzare strutture in cui la porosità può essere considerata deterministica. A differenza delle schiume, i reticoli prodotti in Laser Powder Bed Fusion sono definiti matematicamente, controllando puntualmente la geometria della cella elementare, lo spessore delle travi o delle pareti, e la connettività dei pori. Questo permette di progettare strutture dominate da trazione/compressione, che offrono un rapporto rigidezza-peso superiore e, soprattutto, un controllo preciso dei percorsi di flusso all’interno del volume. L’adozione di strutture reticolari impone una revisione del concetto di volume di controllo. La densità cessa di essere una proprietà intrinseca e costante del materiale perché la struttura stessa prevede la presenza di vuoti. Attraverso la gestione della geometria della cella, è possibile generare gradienti di densità, variando la porosità dal 10-15% per applicazioni di smorzamento acustico fino al 70-80% per applicazioni di scambiatori di calore o filtri a bassa impedenza. Queste particolari strutture vengono chiamate in gergo lattice.
Topologia delle celle elementari
Le celle elementari basate su travi (chiamate strut-based), come il reticolo Cubico a Corpo Centrato (Body Centered Cubic BCC) o la Cubica a Faccia Centrata (Face Centered Cubic FCC), sono essenzialmente composte da nodi e aste. Sebbene queste geometrie offrano prestazioni meccaniche prevedibili e siano computazionalmente leggere da generare, presentano limiti severi quando applicate alla gestione dei fluidi e all’acustica. Da un punto di vista fluidodinamico, un reticolo strut-based agisce come un insieme di corpi tozzi immersi nel flusso. I nodi di congiunzione, dove convergono molteplici aste, generano punti di ristagno e ricircoli vorticosi. Questa discontinuità geometrica non favorisce un flusso laminare o controllato, ma induce turbolenze localizzate che si traducono in perdite di carico elevate e difficilmente modellabili. Inoltre, la concentrazione di sforzi nei nodi rappresenta un punto debole durante il processo di solidificazione rapida tipico dell’Additive Manufacturing, aumentando il rischio di cricche a caldo.
La risposta a queste limitazioni risiede nell’adozione di particolari strutture chiamate Triply Periodic Minimal Surfaces (TPMS). A differenza dei reticoli discreti composti da travi, le TPMS sono descritte da equazioni matematiche implicite, esempio:

La caratteristica fondamentale di queste superfici è la curvatura media nulla in ogni punto. Questo significa che per ogni punto della superficie, le curvature principali sono uguali e opposte, creando una morfologia a sella continua priva di spigoli vivi, nodi o discontinuità. La loro adozione introduce due vantaggi per la fluidodinamica. Il primo è l’elevato rapporto superficie-volume. A parità di volume occupato, una struttura TPMS offre una superficie di scambio termico o di contatto fluido significativamente superiore rispetto a una struttura a travi o a canali cilindrici standard. Questo parametro è direttamente correlato all’efficienza nei processi di scambiatori di calore e nei catalizzatori, dove la massimizzazione dell’interfaccia solido-fluido è prioritaria.
Il secondo vantaggio è la facile stampabilità. Nell’additive manufacturing, le superfici con angoli di sbalzo inferiori a un valore critico (tipicamente 35°-45° rispetto alla piattaforma di costruzione) richiedono strutture di supporto per dissipare il calore ed evitarne il collasso. Le strutture TPMS, grazie alla loro curvatura continua, variano l’angolo di crescita in modo graduale. Questo elimina la necessità di supporti interni, un fattore determinante quando si progettano volumi chiusi o canali complessi in cui la rimozione meccanica dei supporti post-stampa sarebbe fisicamente impossibile. La continuità geometrica permette inoltre una migliore gestione del bagno di fusione, riducendo le deformazioni residue rispetto ai bruschi cambi di scansione tipici dei reticoli a travi.
Fluidodinamica nei mezzi porosi additivi
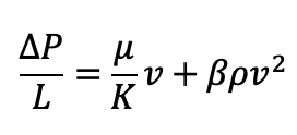
In un reticolo, il regime di flusso raramente si mantiene puramente laminare, anche a bassi numeri di Reynolds, a causa delle continue variazioni di sezione e direzione imposte dalla topologia della cella. Nel modellare la caduta di pressione (ΔP) attraverso un mezzo poroso, la legge lineare di Darcy si rivela spesso inadeguata. Le strutture lattice, specialmente quelle di tipo TPMS, inducono componenti inerziali nel fluido non trascurabili. È pertanto necessario adottare il modello esteso di Darcy-Forchheimer, per tenere conto delle perdite per turbolenza e inerzia:

Dove μ è la viscosità dinamica del fluido, v è la velocità superficiale (velocità di Darcy), K è la permeabilità intrinseca del mezzo (dipendente dalla geometria del poro) e β è il coefficiente inerziale di Forchheimer. Nel design AM, il controllo di K e β avviene agendo sui parametri geometrici della cella elementare. Mentre nei mezzi porosi sinterizzati questi valori sono fenomenologici e derivati a posteriori, nell’AM diventano parametri di input. Infatti, variando la porosità volumetrica e la dimensione della cella, è possibile replicare esattamente la condizione richiesta dal sistema idraulico. Un parametro chiave nella progettazione di filtri e silenziatori è la tortuosità (τ), definita come il rapporto tra la lunghezza effettiva del percorso del fluido (Le) e la distanza rettilinea tra ingresso e uscita (L):

Strutture come il Giroide o il Diamante offrono valori di tortuosità naturalmente elevati (r>1). Questo obbliga il fluido a compiere percorsi sinuosi, aumentando l’interazione con le pareti senza necessariamente ridurre la sezione di passaggio (porosità). Un’elevata tortuosità è desiderabile nelle applicazioni di smorzamento acustico e scambio termico, poiché massimizza la dissipazione energetica. Al contrario, in applicazioni ad alta portata, è necessario bilanciare la tortuosità per evitare perdite di carico eccessive che ridurrebbero l’efficienza globale del sistema.
L’innovazione più dirompente dell’AM in questo ambito risiede nella capacità di realizzare filtri a gradiente funzionale. La filtrazione tradizionale tramite maglie metalliche opera prevalentemente in superficie, per cui le particelle contaminanti più grandi del poro si accumulano, creando rapidamente uno strato che ostruisce il flusso. Con l’additive manufacturing, è possibile progettare un componente con pori di dimensioni decrescenti lungo la direzione del flusso (ad esempio, da 500 µm all’ingresso a 50 µm all’uscita). Questo gradiente di densità permette alle particelle più grandi di essere intrappolate negli strati esterni, mentre quelle più fini penetrano e vengono catturate negli strati interni. Il risultato è un utilizzo dell’intero volume del filtro, incrementando drasticamente la capacità di accumulo e la vita utile del componente prima della saturazione.
Meccanismi di dissipazione acustica
Nel progettare un silenziatore, l’obiettivo è proprio estinguere il suono (fonoassorbimento). All’interno dei micropori, l’energia acustica non scompare ma viene convertita in calore. Questa trasformazione è governata da due meccanismi dissipativi che avvengono nello strato limite all’interfaccia solido-fluido: la dissipazione viscosa e la dissipazione termica. Quando un’onda sonora attraversa un reticolo tortuoso, le particelle d’aria sono costrette a oscillare all’interno di canali ristretti. A causa dell’attrito tra le molecole di gas e le pareti fisse del metallo, si generano sforzi di taglio viscosi che degradano l’energia cinetica del suono in calore. Parallelamente, le compressioni e rarefazioni adiabatiche del gas generano gradienti di temperatura locali; la struttura metallica, fungendo da pozzo termico, assorbe questo calore. Più il poro è piccolo e tortuoso, maggiore è il rapporto superficie/volume e più intensa è l’interazione viscosa. Strutture TPMS permettono di massimizzare questo effetto nella fascia di frequenze medio-alte (1-5 kHz), dove la velocità delle particelle è massima, ottenendo coefficienti di assorbimento (α) superiori a 0.9 con spessori ridotti rispetto ai materiali fibrosi tradizionali.
Molti materiali fonoassorbenti polimerici (schiume PU, melammina) sono eccellenti dissipatori a temperatura ambiente e basse intensità. Tuttavia, in applicazioni industriali, come scarichi di turbine o sistemi ad alta pressione, l’intensità acustica può superare i 140-150 dB. A questi livelli, la quantità di energia convertita in calore è significativa. I polimeri, essendo isolanti termici, tendono a trattenere questo calore, rischiandone il degrado o la fusione della matrice. I metalli stampati in 3D (Titanio Ti6Al4V, Inconel 718, Acciaio 316L), grazie alla loro elevata conducibilità termica, agiscono come dissipatori, conducendo il calore generato dall’attrito viscoso lontano dalla zona attiva verso le pareti esterne del componente, permettendo al sistema di mantenere prestazioni stabili anche sotto carichi acustici e termici importanti.
Un aspetto controintuitivo dell’Additive Manufacturing è il ruolo della rugosità superficiale. Nella meccanica di precisione, la rugosità tipica del processo LPBF ( Rα ~ 10 – 20 μm sulle superfici as-built) è considerata un difetto da rettificare. In acustica, invece, la micro-rugosità superficiale aumenta drasticamente la superficie effettiva di attrito su scala microscopica, incrementando il coefficiente di resistenza al flusso senza ridurre la sezione macroscopica del passaggio. Questo attrito extra gratuito potenzia l’assorbimento a banda larga, rendendo i filtri metallici grezzi di stampa spesso più performanti delle loro controparti levigate chimicamente.
Vincoli e post-processing
La libertà geometrica trova però il suo più grande ostacolo nella granulometria della materia prima. La realizzabilità di un filtro o di un silenziatore dipende strettamente dalla relazione tra la dimensione del poro progettato e la granulometria della polvere metallica utilizzata. In un processo LPBF standard per leghe come l’Alluminio AlSi10Mg o l’Acciaio Inox 316L, la distribuzione delle particelle di polvere varia tipicamente tra 15 e 45 µm o tra 20 e 63 µm. Questo impone un limite fisico alla dimensione minima dei canali fluidi. Se un progettista disegna un poro con un diametro idraulico di 80 µm, rischia concretamente l’occlusione: particelle parzialmente sinterizzate o aggregati di polvere possono incastrarsi nel reticolo, bloccando il flusso ancor prima che il componente entri in servizio. La regola empirica industriale suggerisce che il diametro minimo del poro debba essere almeno 3-4 volte superiore al valore D90 della distribuzione della polvere (il diametro sotto il quale ricade il 90% delle particelle). Il problema più insidioso nella produzione di strutture a guscio chiuso con lattice è la rimozione della polvere non fusa (processo di depowdering). Al termine della stampa, i pori sono pieni di polvere metallica libera che deve essere evacuata. Tuttavia, in strutture ad alta tortuosità progettate per massimizzare l’assorbimento acustico, la gravità non è sufficiente a far fuoriuscire tutta la polvere. Diventa necessario ricorrere a sistemi di depowdering a frequenza di risonanza controllata o, nei casi più estremi, a trattamenti chimici per dissolvere lo strato superficiale interno, allargando i passaggi e rimuovendo i residui parzialmente fusi che agiscono come ancoraggi per la polvere libera.
Infine, vi è il vincolo termico. Le pareti sottili che costituiscono le celle TPMS (spesso nell’ordine dei 150-300 µm) sono soggette a cicli di riscaldamento e raffreddamento estremamente rapidi. Questo accumula enormi tensioni residue nel materiale. Se la struttura non è sufficientemente rigida, queste tensioni possono causare distorsioni macroscopiche o la rottura durante la costruzione stessa. Inoltre, la tendenza del bagno fuso a sferoidizzare per ridurre la tensione superficiale il fenomeno del balling) diventa un aspetto molto critico quando si stampano tratti singoli per pareti sottilissime. Al fine di garantire l’integrità strutturale, è imperativo eseguire un ciclo di distensione in forno con il pezzo ancora saldato alla piastra di costruzione. Tentare di rimuovere un componente a parete sottile dalla piastra senza trattamento termico porterebbe quasi certamente a una deformazione plastica immediata, rendendo il pezzo inutilizzabile.
Conclusioni
L’attuale stato dell’arte nella progettazione di componenti porosi in metallo si basa ancora prevalentemente su un approccio empirico o semi-empirico: il progettista seleziona una cella elementare, imposta una densità relativa target e verifica le prestazioni tramite simulazione a posteriori. Il futuro risiede nell’ottimizzazione topologica dei fluidi, in cui il progettista definisce il volume di design, le condizioni al contorno e gli obiettivi prestazionali. Algoritmi avanzati, basati spesso su metodi Adjoint o Level-Set, risolvono iterativamente le equazioni di Navier-Stokes per determinare la distribuzione ottimale del materiale solido all’interno del dominio fluido. Il software genera così strutture dove la porosità e la morfologia variano in modo continuo punto per punto in risposta ai gradienti locali di velocità e pressione. Questo permette di raggiungere efficienze di lavoro molto elevate, impensabili oggi con le metodologie di progettazione e costruzione tradizionali.



