La storia ci insegna che le conseguenze del mancato funzionamento delle paratie di una diga sono spesso drammatiche. La scelta del materiale migliore può essere determinante…
Per una diga, l’equivalente di un terremoto anomalo come quello che innescò lo tsunami di Fukushima è rappresentato da un colmo di piena eccezionalmente elevato. Quando l’ondata di piena non può essere adeguatamente controllata, l’acqua tracima dal coronamento; cadendo da grande altezza, essa erode la fondazione della struttura e può innescare il collasso della diga.
Per mantenere il livello dell’invaso entro limiti di sicurezza, ogni diga è dotata di un dispositivo di troppo pieno, comunemente detto sfiatatoio, la cui funzione è consentire lo sfioro controllato delle acque oltre una determinata quota. Qualora però la portata dello sfiatatoio risulti insufficiente, entra in gioco un sistema di emergenza: lo scarico di grandi volumi d’acqua mediante paratoie metalliche.
Le paratoie sono dispositivi che rimangono chiusi per la quasi totalità della loro vita utile; tuttavia, come ogni presidio di sicurezza, devono essere pienamente funzionali proprio nel momento in cui si verifica l’evento estremo. Esse costituiscono, di fatto, l’ultima linea di difesa contro la catastrofe.

La storia fornisce esempi drammatici delle conseguenze di un loro mancato funzionamento. In Spagna, nel 1982, il collasso della diga di Tous, causato anche dall’impossibilità di manovrare le paratoie, provocò una violenta inondazione della regione e la morte di decine di persone.

Circa quattordici anni prima, in Marocco [1], un Capo Diga si trovò a fronteggiare circostanze sorprendentemente simili: una piena eccezionale e improvvisa che minacciava di superare il coronamento. In entrambe le situazioni l’azionamento automatico delle paratoie risultò impossibile a causa di un black-out innescato dall’evento climatico estremo; i gruppi elettrogeni di emergenza, inoltre, erano inutilizzabili per carenze manutentive o per l’allagamento dei locali.
Si tentò allora l’azionamento manuale delle paratoie, ma ogni sforzo risultò vano. Costretto ad assistere impotente al superamento del coronamento da parte di ingenti masse d’acqua, secondo alcune fonti [1] il Capo Diga, sopraffatto dal senso di responsabilità, si tolse la vita.
Fortunatamente, a differenza del caso spagnolo, la diga africana resistette a questa condizione estrema senza collassare; le conseguenze della limitata inondazione a valle si ridussero alla perdita di bestiame.
Il paradosso tecnico risiede nel fatto che la causa radice del mancato funzionamento delle paratoie fu la scelta di realizzarle con un acciaio strutturale di categoria superiore rispetto a quello comunemente impiegato. Più precisamente, il fallimento funzionale derivò da un approccio progettuale fondato quasi esclusivamente su criteri di resistenza, confidando nel generoso fattore di sicurezza imposto dalle norme e dalla consuetudine progettuale.
Un caso monodimensionale
Consideriamo il caso di una trave soggetta a trazione monoassiale.

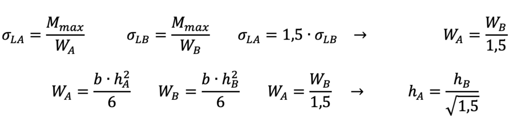
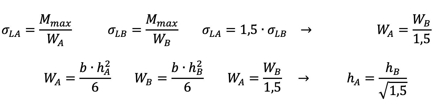
Confrontiamo due acciai: l’acciaio A abbia un limite di snervamento una volta e mezzo quello dell’acciaio B.
Ragionando a parità di fattore di sicurezza, la tensione di lavoro massima dell’acciaio A risulterà una volta e mezza superiore a quella dell’acciaio B, consentendo di adottare per la trave una sezione 1,5 volte inferiore a quella necessaria nel caso dell’acciaio B.

Come è noto, a prescindere dai limiti di resistenza, tutti gli acciai hanno lo stesso modulo di Young E, ovvero presentano la medesima risposta quando lavorano in campo elastico.
Ne consegue che la massima deformazione assiale in esercizio dell’acciaio A è una volta e mezzo quella dell’acciaio B.


I grafici tensione–deformazione degli acciai A e B risultano sovrapposti nel primo tratto a comportamento lineare. L’acciaio A presenta valori più elevati sia della tensione massima di lavoro sia della deformazione massima in esercizio.

È pertanto opportuno verificare se il corrispondente allungamento in esercizio risulti compatibile con i requisiti funzionali del sistema.
Un caso bidimensionale
Per limitare l’erosione della fondazione, le paratoie sono installate a quote inferiori rispetto al coronamento e risultano pertanto soggette alla pressione idrostatica dell’invaso. Dal punto di vista strutturale, una paratoia si comporta come un guscio e non può essere assimilata a una trave di Saint-Venant, per la quale una dimensione risulta nettamente prevalente sulle altre.
Tuttavia, a fini illustrativi, consideriamo una trave appoggiata a sezione rettangolare soggetta a carico distribuito.


Anche in questo caso, l’aumento del limite di snervamento dell’acciaio impiegato, a parità di fattore di sicurezza e di base b della sezione, consente una riduzione del modulo di resistenza a flessione e quindi dell’altezza h della trave.

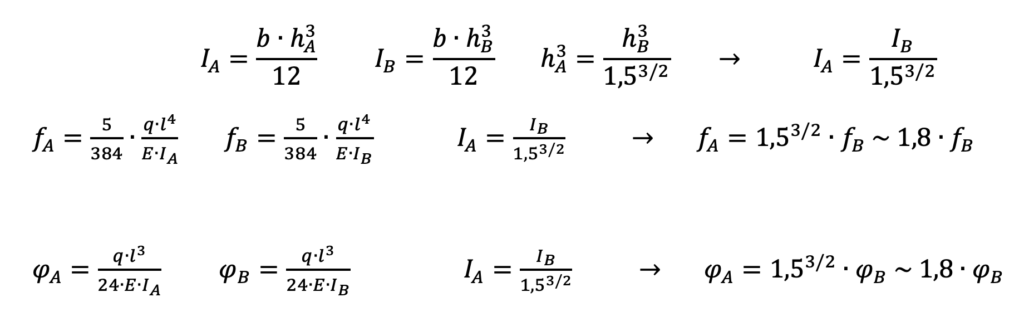
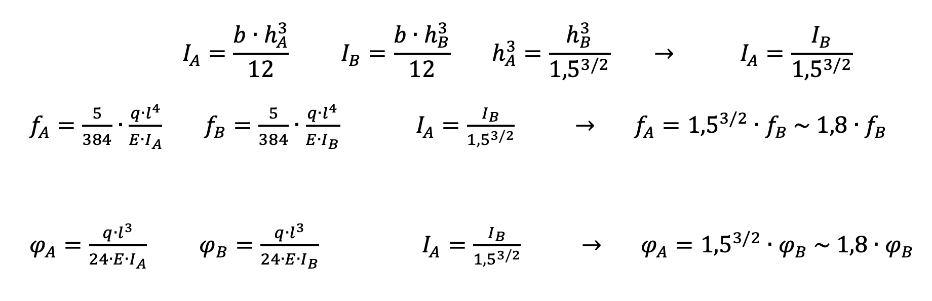
Ciò che potrebbe essere trascurato è che, così facendo, aumenta la deformazione elastica sotto carico. Infatti, anche il momento d’inerzia della trave realizzata in acciaio A è inferiore rispetto a quello della trave realizzata in acciaio B.
Tuttavia, a fini illustrativi, consideriamo una trave appoggiata a sezione rettangolare soggetta a carico distribuito.

Sia freccia che rotazione in corrispondenza degli appoggi sono inversamente proporzionali al momento d’inerzia e quindi le deformazioni della trave realizzata in acciaio A sono quasi doppie quelle che si avrebbero con l’acciaio B.

Il caso tridimensionale delle paratoie
Nel caso in esame, l’adozione di un acciaio con limite di snervamento più elevato del consueto consentì, a parità di fattore di sicurezza, di ridurre lo spessore delle lamiere e quindi il peso complessivo delle paratoie. Tuttavia, le deformazioni elastiche in esercizio divennero significative.
Il contatto tra paratoia e guide di scorrimento, anziché distribuirsi uniformemente, si concentrò su una porzione molto limitata del bordo d’attacco, generando pressioni di contatto elevatissime. In presenza di microscopici movimenti relativi, indotti dalle variazioni del livello dell’invaso, tali pressioni portarono a un lento ma inesorabile grippaggio delle paratoie sulle guide con saldatura superficiale delle prime alle seconde.
In queste condizioni, le paratoie non avrebbero potuto essere sbloccate e aperte nemmeno qualora l’azionamento elettrico fosse stato possibile.
Conclusioni
Questo caso mette in luce un aspetto a volte sottovalutato della progettazione strutturale: la sicurezza non coincide automaticamente con la resistenza. Progettare componenti con ampi margini di sicurezza e garantire che essi operino interamente in campo elastico può risultare insufficiente quando la funzionalità del sistema dipende in modo critico dalle deformazioni.
Se il progetto è guidato esclusivamente da verifiche a resistenza, a parità di fattore di sicurezza la scelta di un materiale con caratteristiche meccaniche “migliori” porta quasi inevitabilmente a strutture più snelle e, quindi, a deformazioni elastiche maggiori sotto carico. In dispositivi come le paratoie di una diga, tali deformazioni possono alterare le condizioni di contatto, amplificare le pressioni locali e innescare meccanismi di danneggiamento o bloccaggio incompatibili con la funzione di sicurezza richiesta.
La lezione ingegneristica è chiara: la prestazione strutturale deve essere valutata da più punti di vista, integrando alle verifiche resistenziali rigorose analisi deformative e funzionali. Solo così è possibile evitare che una scelta apparentemente più “robusta” sul piano dei materiali si trasformi, nei fatti, in un fattore di vulnerabilità latente proprio nel momento in cui l’opera è chiamata a svolgere il suo ruolo più critico.
Note
[1] L’episodio si riferisce con buona probabilità alla diga di El Haouz (o Lalla Takerkoust). L’evento risale al periodo pre-internet e, non avendo avuto esiti catastrofici, risulta scarsamente documentato. . Il progetto fu realizzato da un’impresa che, all’epoca, era impegnata nella costruzione di numerose dighe nel continente africano.



