Pattini a ricircolo di sfere

L’architettura tipica dei pattini a ricircolo di sfere è composta da una rotaia in acciaio temprato e di un pattino all’interno del quale una serie di sfere metalliche scorrono in un circuito chiuso e continuo. Un’accurata progettazione di tutte le parti è importante per prevenire l’usura prematura e il collasso strutturale dei componenti.

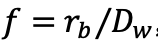
L’interfaccia di contatto tra la sfera e la pista di rotolamento è l’elemento che determina sia la capacità di carico, sia la rigidezza strutturale del pattino. La geometria di contatto viene quantificata e ottimizzata attraverso il rapporto di osculazione, definito come:

dove rb rappresenta il raggio di curvatura trasversale della gola della pista e Dw è il diametro nominale del corpo volvente. Nei sistemi di movimento lineare per applicazioni industriali, il valore del rapporto di osculazione è tipicamente dimensionato in un intervallo ristretto, 0,52-0,56. Un valore che si avvicina al limite teorico di 0,5 incrementa notevolmente la capacità di carico del sistema, a fronte di maggiori perdite di energia sotto forma di attrito. Le piste di rotolamento vengono lavorate per asportazione di truciolo o rettifica secondo due profili geometrici particolari. Il profilo ad arco circolare genera un contatto a due punti tra la sfera, la pista della rotaia e la corrispondente pista del carrello. Questa specifica configurazione tollera leggeri disallineamenti angolari dovuti a imperfezioni di montaggio, ma presenta una minore rigidezza torsionale. Il profilo ad arco gotico, viceversa, è generato dall’intersezione di due archi di circonferenza con centri di curvatura sfalsati, permettendo alla singola sfera di entrare in contatto con la pista in quattro punti distinti contemporaneamente con un angolo di contatto tipicamente imposto a 45° al fine di garantisce un bilanciamento delle capacità di carico nelle quattro direzioni radiali e assiali principali.

Il circuito delle sfere è diviso in tre sezioni distinte: una zona di carico, dove le sfere trasmettono attivamente le forze normali e di taglio tra la rotaia e il carrello, un canale di ritorno a scarico di forza, situato longitudinalmente nel corpo interno del pattino, e due zone di inversione chiamate deflettori, poste alle estremità frontali del carrello. I deflettori hanno il compito di invertire la traiettoria dei corpi volventi, estraendoli dalla pista attiva per guidarli nel canale di scarico e reintroducendoli nella parte opposta del ciclo. L’ingresso delle sfere nella zona di carico non è istantaneo ma avviene attraverso un’area di transizione in cui il profilo della pista all’interno del carrello presenta un invito con scarico rastremato per evitare l’innesco di vibrazioni. Un’accurata progettazione delle curve di inversione è importante per prevenire l’usura prematura e il collasso strutturale dei componenti.

Analisi delle sollecitazioni

Le sollecitazioni trasmesse dalla macchina al pattino si scompongono in forze assiali lungo l’asse di moto, forze radiali e forze laterali. Essendo il pattino libero di traslare lungo l’asse longitudinale, comunemente designato come asse x, la forza assiale non viene assorbita dalla guida lineare, bensì dal sistema di azionamento deputato alla movimentazione, quale può essere una vite a circolazione di sfere o un motore lineare. Conseguentemente, le componenti di carico esterne che sollecitano effettivamente i corpi volventi e deformano le piste di rotolamento si riducono alla forza radiale Fz diretta verticalmente e perpendicolare al piano di fissaggio della rotaia, e alla forza laterale Fy agente nel piano orizzontale trasversalmente alla direzione del moto. Oltre alle forze dirette, il pattino è quasi sempre sottoposto a forze eccentriche che generano momenti torcenti attorno ai tre assi principali, producendo una distribuzione disomogenea dei carichi sui corpi volventi. Il momento di rollio Mx si sviluppa attorno all’asse di traslazione e tende a far ruotare il carrello lateralmente, gravando in misura maggiore sui circuiti di sfere posti su un singolo lato della rotaia. Il momento di beccheggio My agisce attorno all’asse trasversale y, inducendo una variazione progressiva del carico tra la parte anteriore e posteriore del carrello. Infine, il momento di imbardata Mz opera attorno all’asse verticale z, forzando una rotazione che sollecita i circuiti in direzioni incrociate e contrapposte alle due estremità. La capacità di reazione strutturale a tali momenti è dettata dalla distanza tra le piste di rotolamento e dalla lunghezza attiva del carrello. Le guide a quattro ranghi di sfere reagiscono a queste sollecitazioni convertendole in reazioni vincolari localizzate. Un momento di beccheggio puro, ad esempio, comporta un incremento del carico di compressione sulle sfere alle estremità longitudinali del circuito di carico, mentre le sfere situate nella porzione centrale del pattino subiscono una variazione tensionale pressappoco nulla. La risultante distribuzione delle pressioni lungo l’asse longitudinale del pattino assume pertanto un andamento trapezoidale o, in casi di sollecitazioni estreme, triangolare, in stretta funzione della rigidezza del mantello metallico del carrello. Poiché le equazioni teoriche dedotte dalla norma per la determinazione della durata a fatica considerano esclusivamente l’applicazione di un carico costante puramente radiale e perfettamente centrato, si rende necessario ricorrere al calcolo del carico dinamico equivalente, indicato con la variabile Peq


In questa equazione lineare, la costante  rappresenta il coefficiente di carico dinamico di base, mentre i termini al denominatore indicano i momenti dinamici ammissibili dichiarati dal costruttore per lo specifico asse di rotazione. Questa formulazione fornisce un’approssimazione analitica cautelativa, tendendo a sovrastimare la sollecitazione reale derivata dalla combinazione dei vettori per garantire ampi margini di sicurezza nella successiva fase di dimensionamento a fatica. Per compensare l’incertezza intrinseca legata alle specifiche condizioni operative, si considera un coefficiente empirico, definito fw, comunemente noto come fattore di carico dinamico o fattore di urto. L’equazione correttiva diviene pertanto Pc = Peqfw, dove Pc rappresenta il carico equivalente di calcolo finale da immettere nelle equazioni di durata. Per traslazioni lente a velocità inferiori a 15 m/min in totale assenza di urti, fw assume valori prossimi all’unità. Diversamente, in presenza di velocità elevate superiori ai 60 m/min, lavorazioni gravose accompagnate da forti vibrazioni trasmesse dal mandrino o carichi d’urto repentini, fw può superare il valore di 2,5.
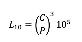
Il dimensionamento strutturale dei sistemi di guida lineare si fonda sul concetto di fatica da contatto volvente. Secondo le direttive stabilite dalla normativa internazionale ISO 14728-1, la vita utile nominale di un pattino a ricircolo di sfere è definita come la distanza lineare complessiva che il 90% di un gruppo di cuscinetti lineari identici, operanti sotto le medesime condizioni, è statisticamente in grado di percorrere prima che si manifesti la prima evidenza di esfoliazione, o spalling, sulle piste di rotolamento o sulla superficie dei corpi volventi. Il parametro fornito dai costruttori per la valutazione ingegneristica è la capacità di carico dinamico di base, usualmente denotata con la variabile C, la quale quantifica il carico radiale costante, per modulo e direzione, che il sistema meccanico può teoricamente sopportare per una durata nominale pari a centomila metri di traslazione senza subire cedimenti. L’equazione di base è formulata come segue:

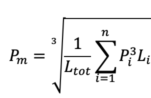
Dove L10 rappresenta la vita nominale espressa in metri, mentre P individua il carico dinamico effettivo. Poiché le condizioni di esercizio in ambiente industriale non sono di certo ideali, il calcolo della durata deve essere corretto attraverso l’introduzione di specifici coefficienti di declassamento. Il primo fattore di correzione, indicato con fH, tiene conto della durezza superficiale effettiva delle piste di rotolamento. Affinché la capacità di carico dinamico C sia sfruttabile nella sua interezza, le piste devono presentare una durezza 58-64 HRC. Il secondo parametro è il fattore termico fr. I pattini standard sono dimensionati per operare in un regime di temperatura massima di 80°C. Un ulteriore elemento è costituito dalla ripartizione non uniforme del carico qualora molteplici pattini vengano installati in parallelo sul medesimo asse lineare. Le tolleranze di lavorazione del basamento e i disallineamenti geometrici tra i piani di appoggio impediscono una distribuzione perfetta delle tensioni. Si introduce il fattore di contatto fc, il cui valore numerico decresce progressivamente all’aumentare del numero di pattini. I pattini sono elementi che difficilmente verranno installati per rimanere sotto un unico carico statico per tutta la loro vita operativa. Per valutare la vita utile in presenza di carichi fluttuanti, si adotta il principio del danno cumulativo lineare formulato secondo la rigorosa regola di Palmgren-Miner. Tale approccio richiede il calcolo di un carico dinamico medio equivalente Pm, definibile come un carico fittizio di modulo costante capace di indurre sul sistema il medesimo danneggiamento per fatica generato dallo spettro di carico variabile reale:

Nella formula illustrata, Prappresenta il carico equivalente gravante sul carrello durante la i-esima fase del ciclo di lavoro, Li è la distanza lineare parziale percorsa in quello specifico intervallo spaziale e Ltot costituisce la corsa totale e complessiva dell’intero ciclo analizzato. La sostituzione diretta del termine costante P con la variabile mediata Pm nell’equazione principale della durata permette di validare l’integrità strutturale in caso di carichi altamente dinamici, irregolari e gravosi, garantendo un dimensionamento conforme alla realtà industriale.

Rigidezza e precisione di posizionamento

Il precarico nei pattini a ricircolo di sfere permette di ottenere un’elevata rigidezza strutturale ed eliminare il gioco radiale e torsionale. Da un punto di vista costruttivo, il precarico viene generato inserendo all’interno del circuito di ricircolo dei corpi volventi maggiorati. L’entità di questa forza interna, definita forza di precarico, altera in modo significativo il comportamento della guida. L’assenza di gioco assicura che qualsiasi traslazione del carrello avvenga con una reazione immediata alle forze esterne, condizione necessaria per i controlli di posizione ad anello chiuso. A livello industriale e di catalogo, il precarico viene standardizzato in classi specifiche, tipicamente identificate da codici alfanumerici, che esprimono l’entità della forza interna come percentuale della capacità di carico dinamico C del pattino. Si distinguono generalmente configurazioni a gioco zero, a precarico leggero corrispondente approssimativamente al 2% di C, a precarico medio attestabile circa al 5% e a precarico pesante che può spingersi fino all’ 8-10% di C.

Un precarico elevato massimizza la rigidezza e minimizza la deflessione elastica sotto carico, utile per le macchine utensili dove la precisione millesimale è la priorità assoluta. Tuttavia, l’aumento dell’interferenza incrementa proporzionalmente la resistenza d’attrito al rotolamento, innalzando la temperatura di esercizio a causa della maggiore dissipazione termica e accelerando i processi di fatica superficiale. Inoltre, un pattino esente da giochi e opportunamente precaricato presenta frequenze naturali di vibrazione più elevate, allontanando il rischio di instabilità per risonanza durante le fasi di accelerazione transitoria o durante le lavorazioni meccaniche intermittenti. Quando una forza esterna viene applicata a un pattino precaricato, il carico sui corpi volventi disposti lungo la direzione dell’azione aumenta, mentre il carico sulle sfere contrapposte diminuisce in ugual misura, fino all’eventuale raggiungimento del punto di distacco elastico. La deflessione totale del carrello risulta quindi notevolmente inferiore rispetto a un sistema non precaricato, garantendo una costanza di posizionamento sotto sforzo.

Criteri di lubrificazione

Nei pattini a ricircolo di sfere l’attrito non è mai nullo. Anche se si sfrutta il rotolamento, le sfere e le piste non combaciano in modo perfetto e si verifica sempre un micro-scivolamento. Inoltre, l’attrito nasce anche dallo sfregamento tra le sfere stesse (o contro le gabbie in plastica), dal loro urto nelle zone di inversione del carrello e dalla continua deformazione dell’acciaio sottoposto al carico di lavoro. La forza di attrito totale può essere riassunta in modo pratico dalla seguente equazione:

Il primo termine rappresenta l’attrito legato al carico applicato Feq, con un coefficiente che di norma vale tra 0.002 e 0.003. Il secondo termine è la resistenza fissa introdotta dalla presenza del precarico Fpr. Il termine  indica l’attrito costante causato dallo strisciamento delle guarnizioni e dei raschiatori, un valore che incide parecchio nei pattini di piccola taglia. L’ultimo termine, Fv(v,n), rappresenta semplicemente la resistenza opposta dal lubrificante, che varia in base alla velocità del carrello e alla viscosità del fluido.

Per tenere sotto controllo l’attrito ed evitare che le superfici si usurino prematuramente, è fondamentale garantire una corretta lubrificazione. Quando il lubrificante viene schiacciato tra la sfera e la pista ad altissime pressioni, la sua viscosità aumenta drasticamente, facendolo comportare quasi come un solido. Questo crea un velo protettivo che separa il metallo della sfera dalla pista. L’efficacia di questa separazione si valuta con il parametro :

In questa formula, hmin è lo spessore minimo del velo d’olio, mentre il denominatore rappresenta la rugosità media delle due superfici metalliche a contatto. Per evitare del tutto il contatto metallo-metallo,  deve essere maggiore di tre. Se il valore scende tra uno e tre, la separazione è solo parziale (lubrificazione mista); in questi casi è obbligatorio usare lubrificanti contenenti additivi antiusura (AW) o per estreme pressioni (EP) per proteggere le micro-asperità del materiale. La scelta pratica del lubrificante, che sia olio o grasso, dipende dalla velocità e dalla temperatura operative. Le applicazioni ad alta velocità richiedono oli molto fluidi, in genere tra 32 e 68 cSt a 40°C, per non generare troppo attrito viscoso ed evitare surriscaldamenti. Al contrario, carichi molto pesanti e movimenti lenti richiedono lubrificanti più densi, con viscosità comprese tra 100 e 220 cSt, per riuscire a mantenere il velo d’olio necessario anche a basse velocità di trascinamento. Se le temperature di lavoro sono alte, bisogna scegliere un lubrificante con un elevato indice di viscosità, che non diventi eccessivamente liquido quando si scalda.

Conclusione

La progettazione e l’impiego dei pattini a ricircolo di sfere richiedono un’attenta valutazione delle forze in gioco e dei parametri costruttivi. L’affidabilità del sistema dipende dal corretto calcolo del carico dinamico equivalente, dalla scelta del precarico per garantire l’adeguata rigidezza strutturale e dal mantenimento di un film lubrificante per mitigare l’usura di tutte le parti. Ottimizzare questi tre aspetti assicura il raggiungimento della vita utile nominale e della costanza di posizionamento richieste dalla specifica applicazione. In prospettiva futura, lo sviluppo di questi componenti si orienterà verso l’integrazione sensoristica: l’inserimento di microsensori direttamente a bordo del carrello permetterà il monitoraggio in tempo reale di vibrazioni e temperature, trasformando la manutenzione da preventiva a predittiva e superando i limiti del puro calcolo statistico della durata.

Quaderni di progettazione

Pattini a ricircolo di sfere

L’architettura tipica dei pattini a ricircolo di sfere è composta da una rotaia in acciaio temprato e di un pattino all’interno del quale una serie di sfere metalliche scorrono in un circuito chiuso e continuo. Un’accurata progettazione di tutte le

Design thinking

TRI‑WING: la rivoluzione aeronautica?

Un nuovo concept ingegneristico per l’aviazione commerciale: efficienza strutturale, sostenibilità e sicurezza convergono nel design a tre ali. Nel panorama dell’ingegneria aeronautica contemporanea, l’innovazione strutturale e funzionale è diventata una leva strategica per affrontare le sfide ambientali e ridefinire i

Metodologie di progettazione

Progettazione dei collegamenti al suolo per macchine industriali

Le vibrazioni legate al funzionamento rappresentano uno dei fenomeni dinamici più diffusi e, al tempo stesso, più critici nel funzionamento delle macchine industriali. Sebbene una certa entità di vibrazione sia inevitabile, il controllo di questo fenomeno costituisce un aspetto fondamentale

Tips&Triks

Guida alle quote riquadrate: quando e perché utilizzarle

Le quote riquadrate, definite formalmente come Theoretically Exact Dimensions (TED, nella normativa ISO), sono valori numerici racchiusi all’interno di una cornice rettangolare su un disegno tecnico e rappresentano uno dei concetti più importanti e talvolta fraintesi del GD&T (fig. 1).